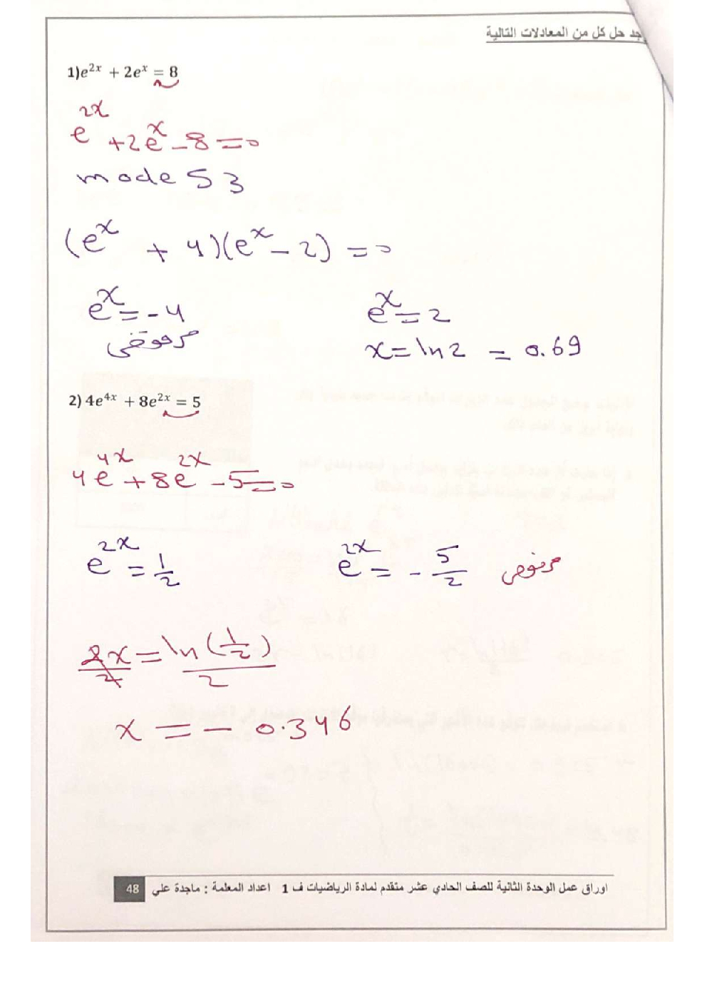
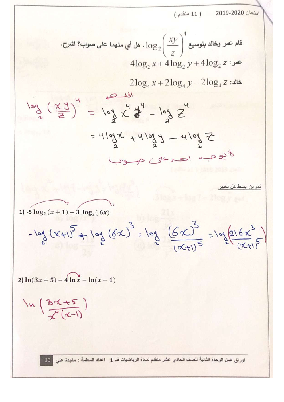
من 54