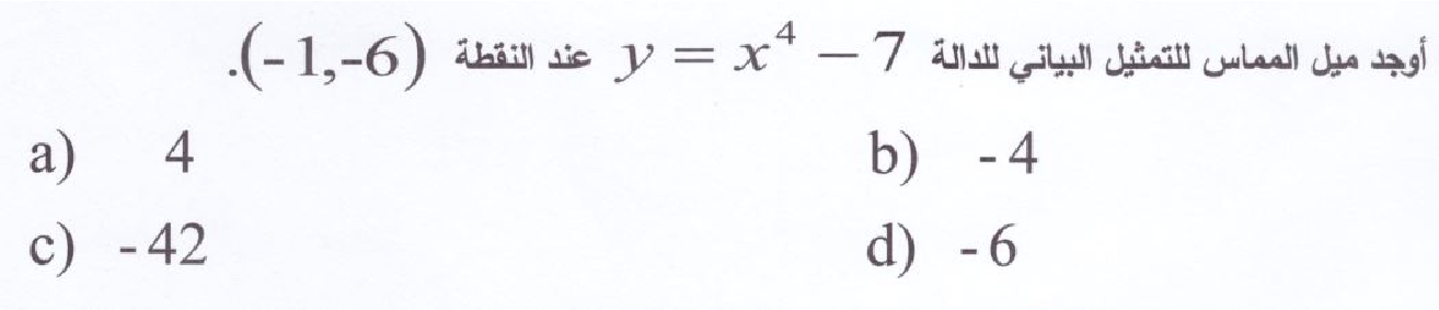
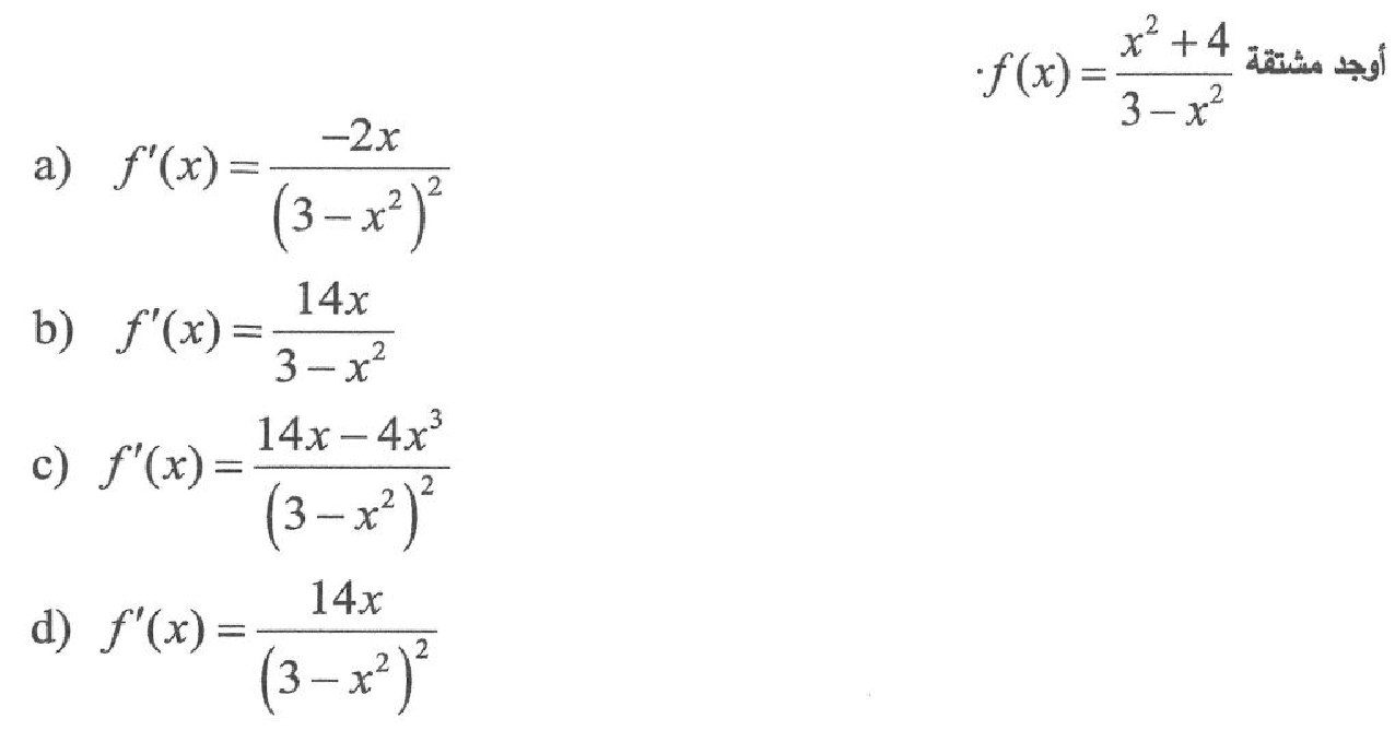
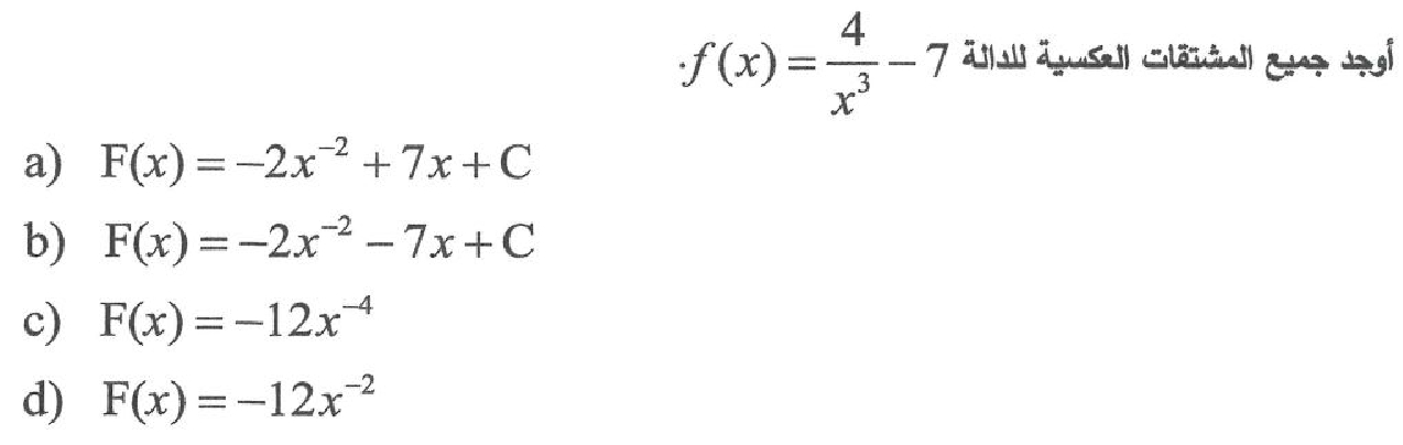
من 21