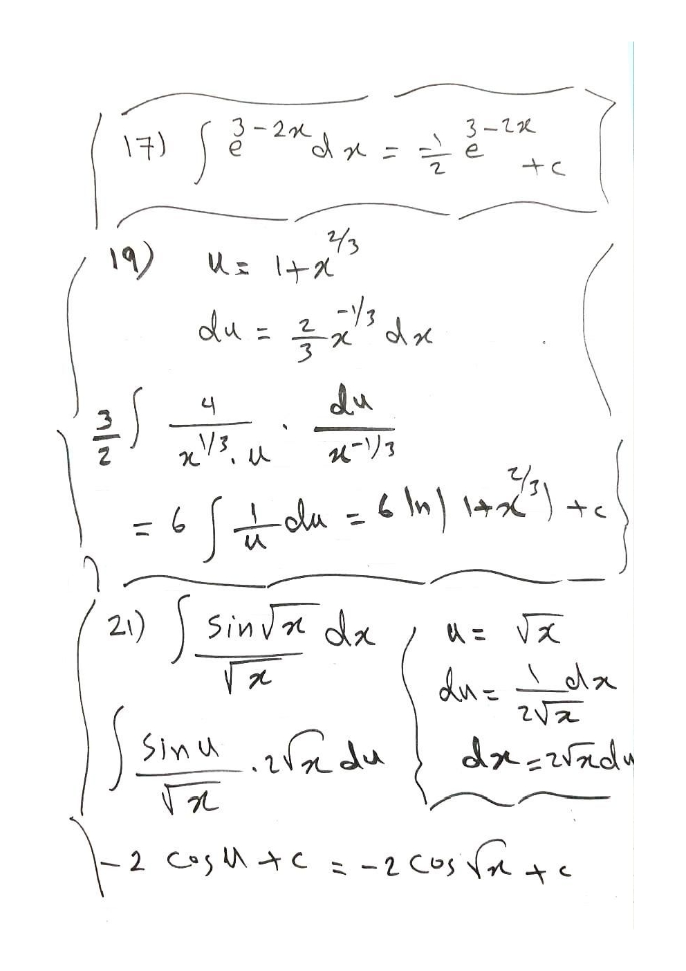
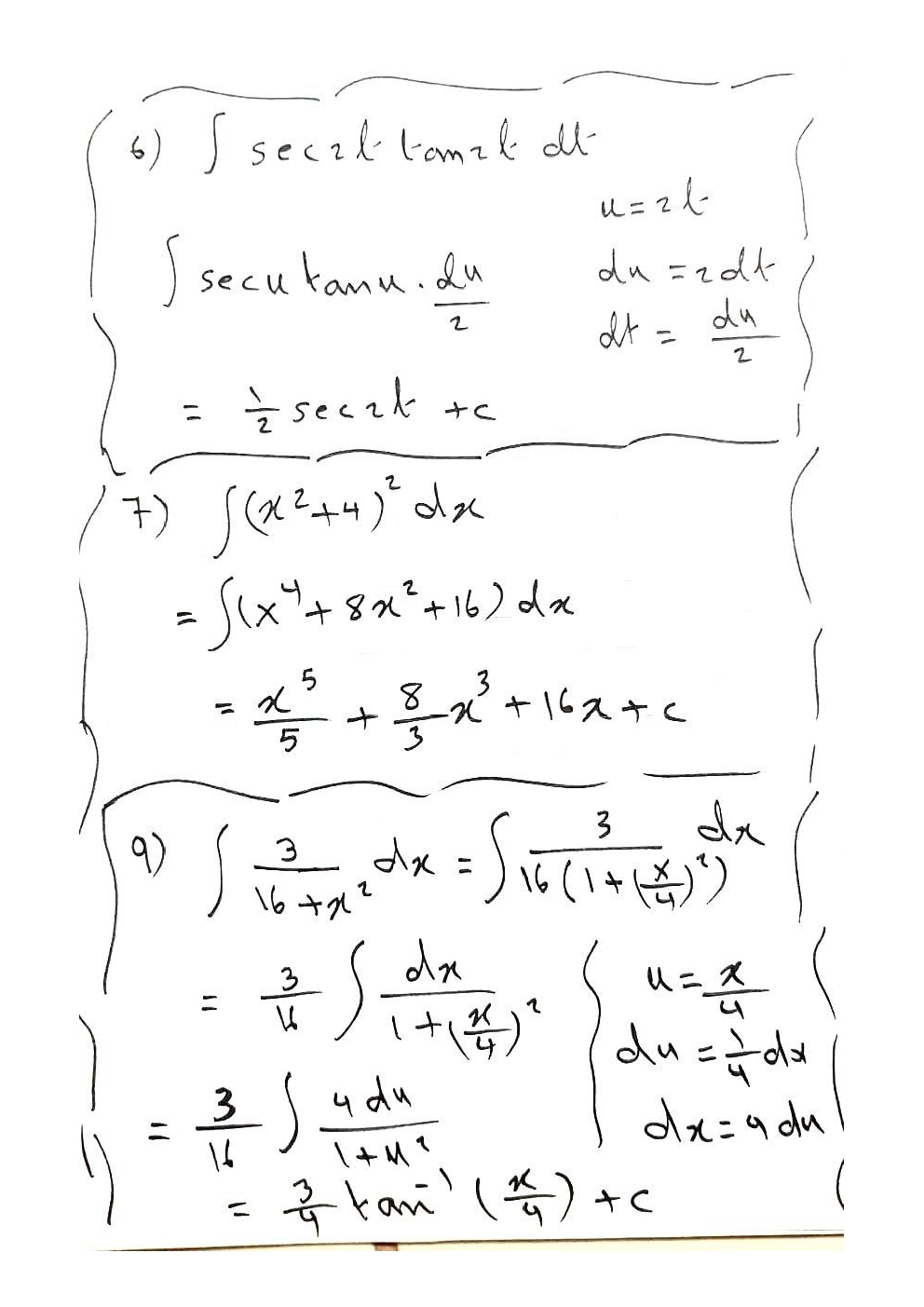
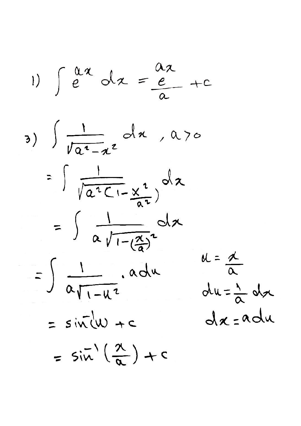
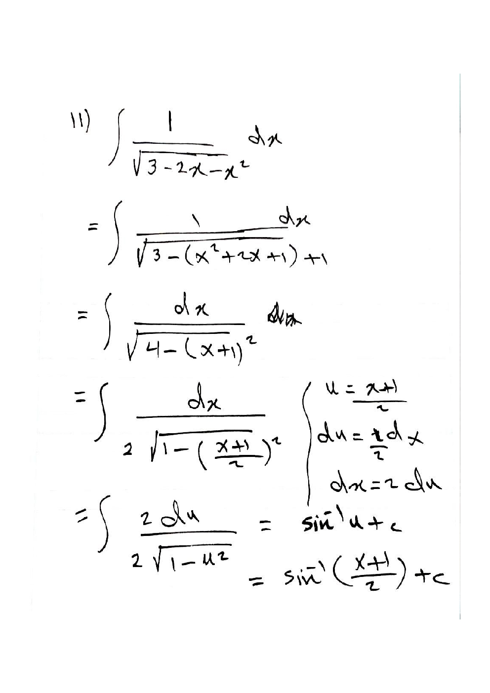
من 21