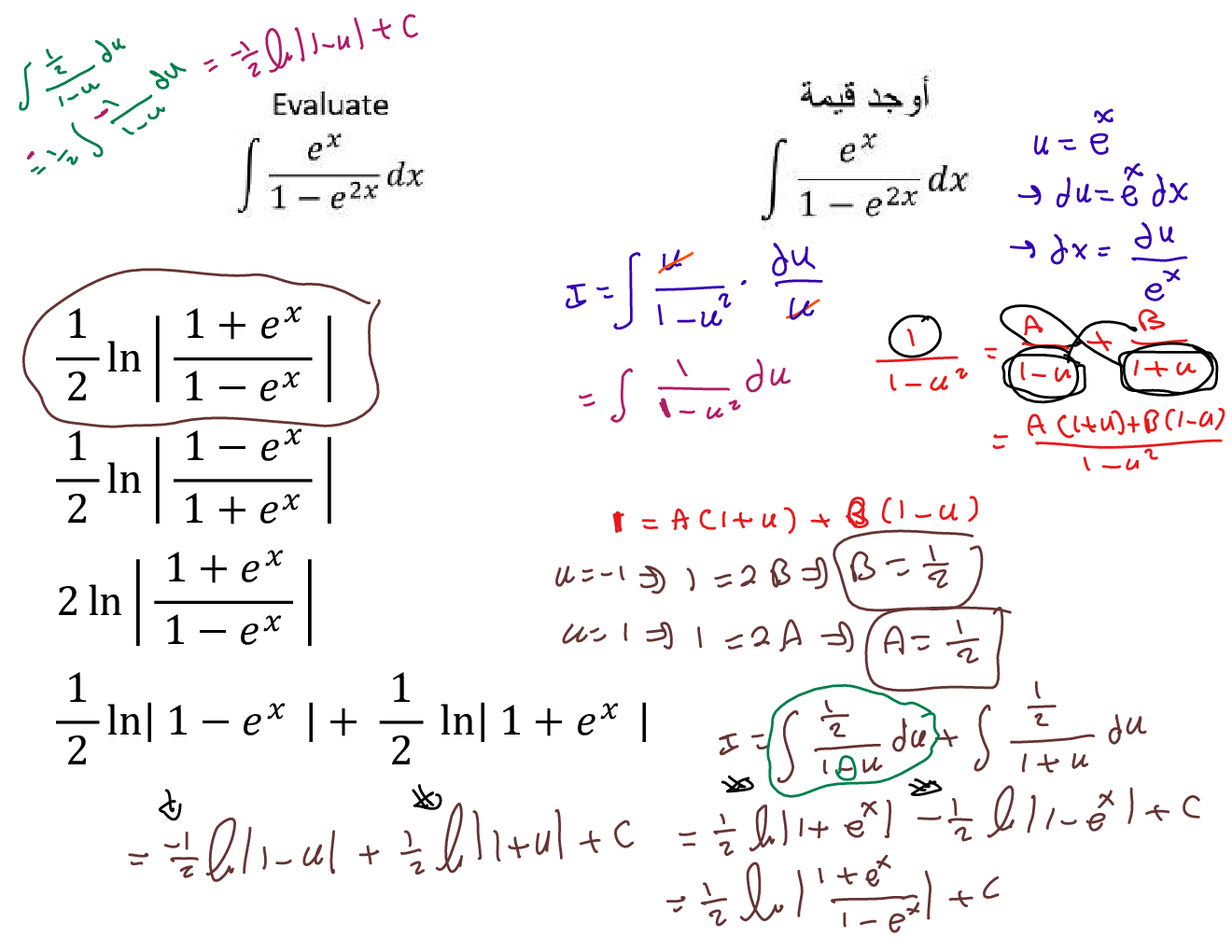
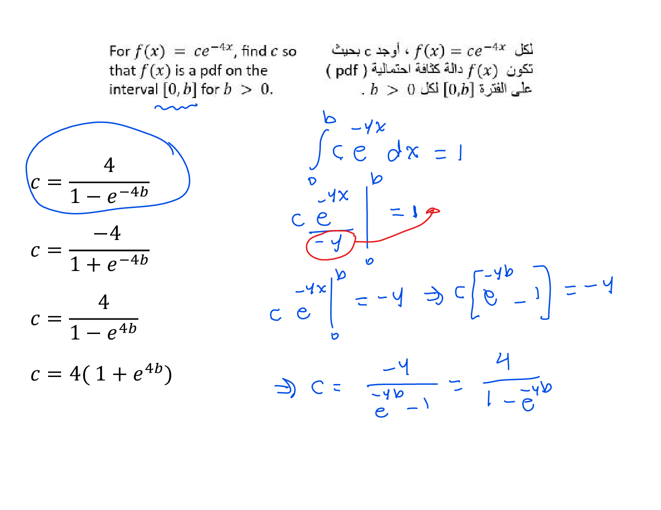
من 21