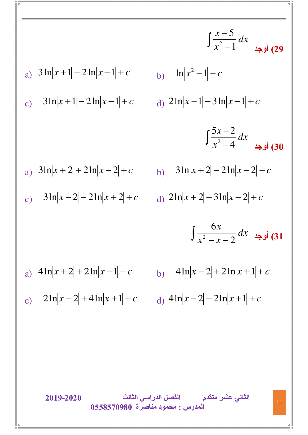
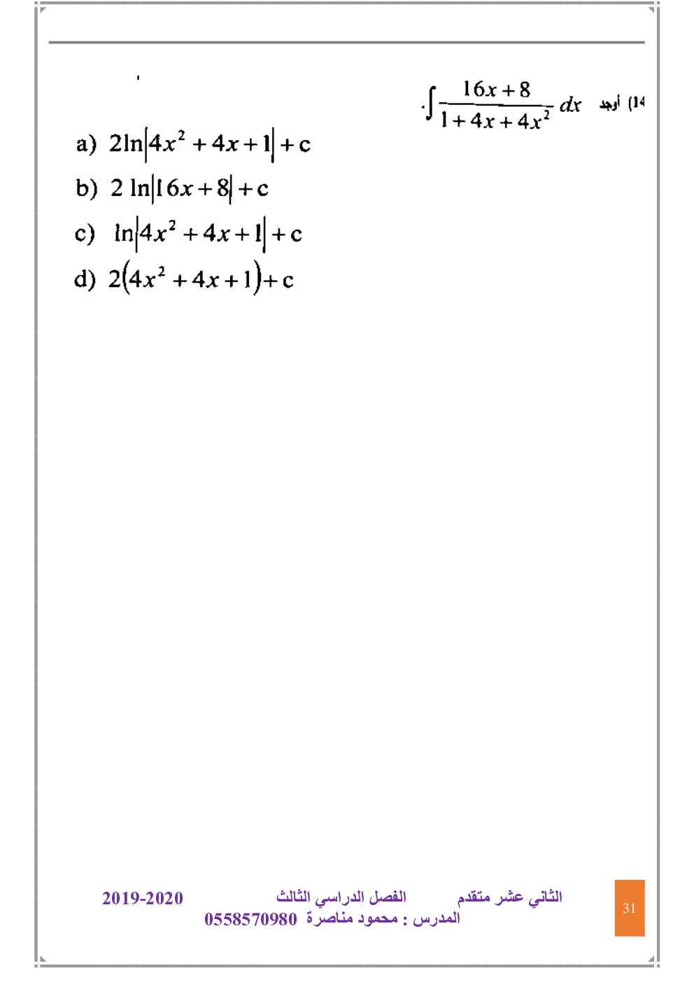
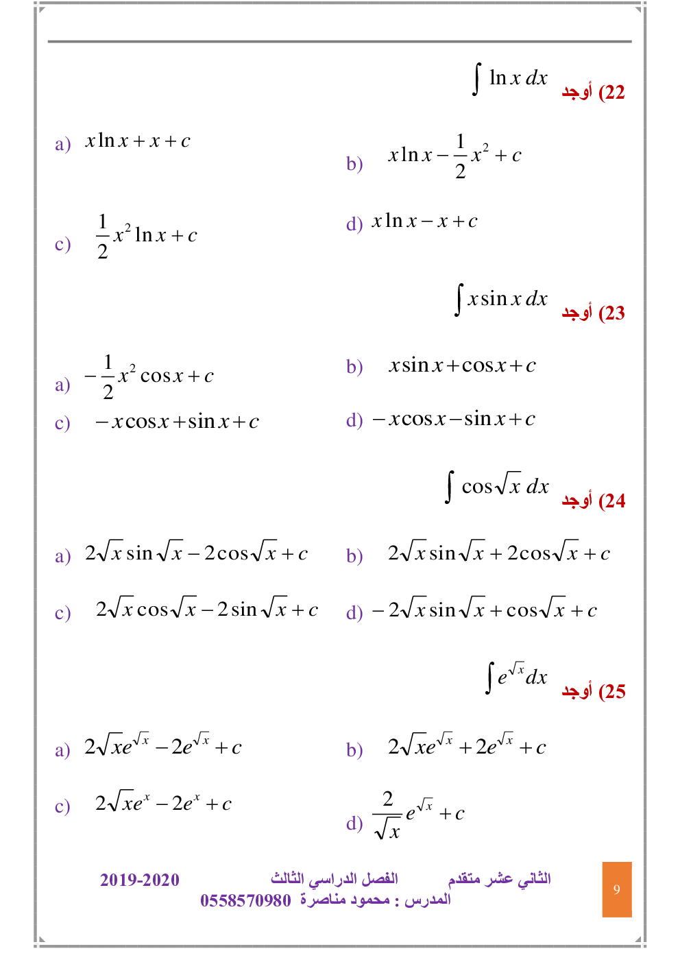
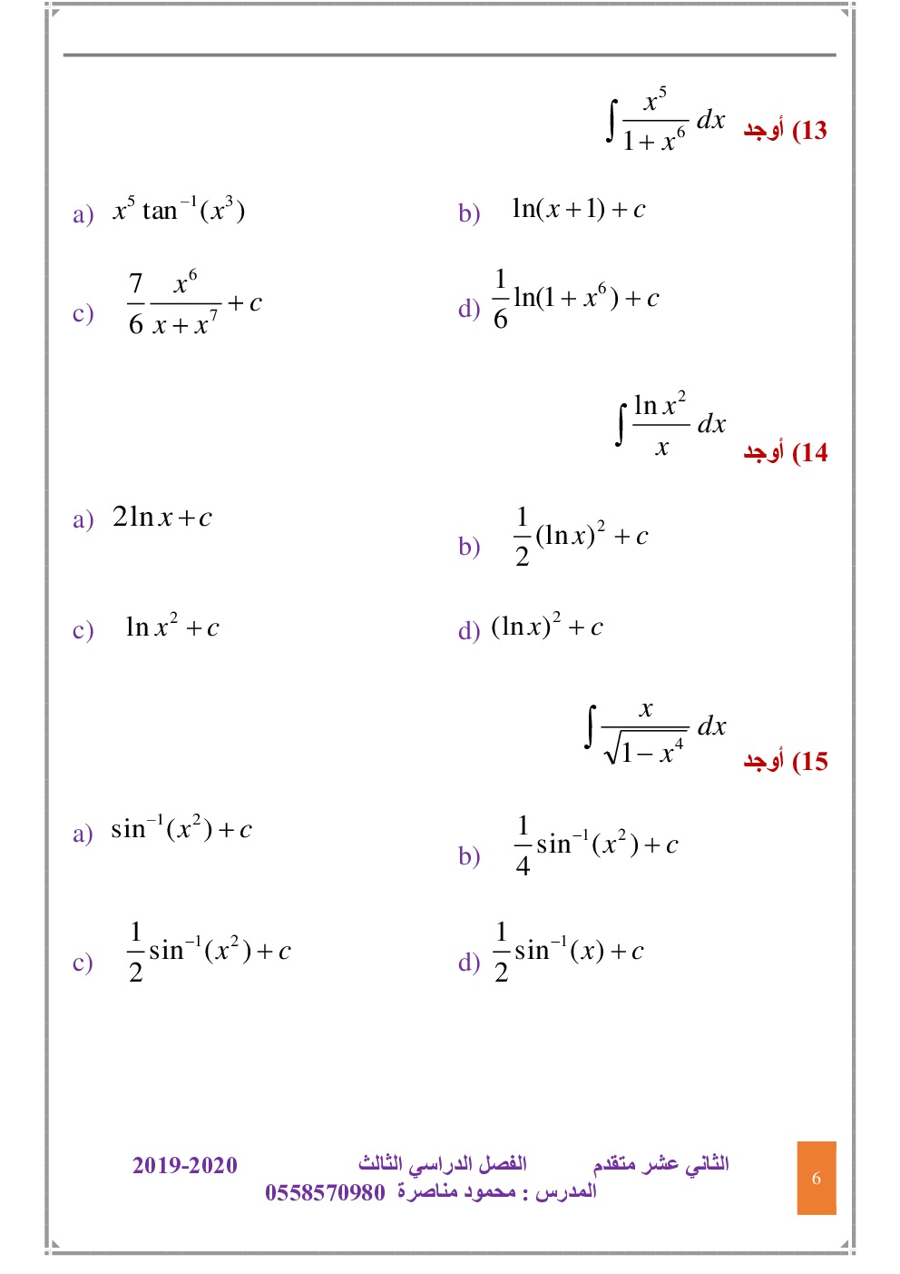
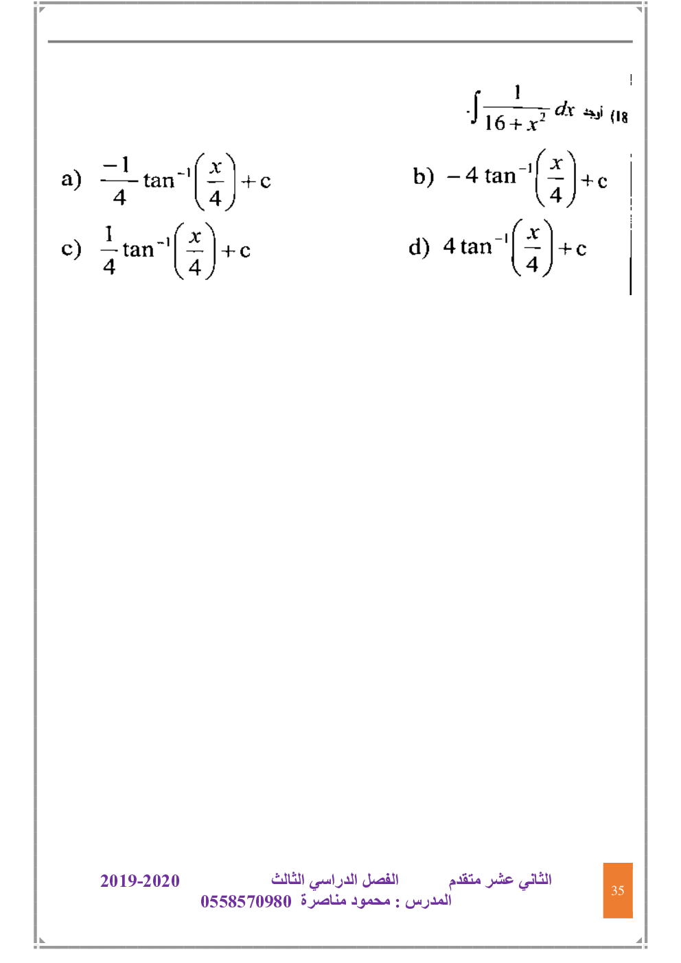
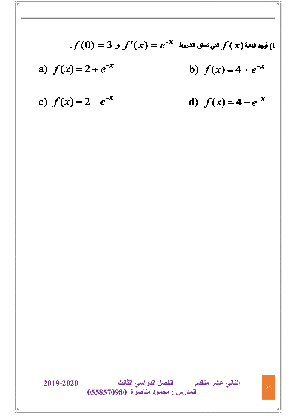
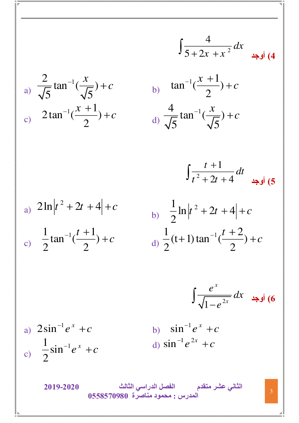
من 36