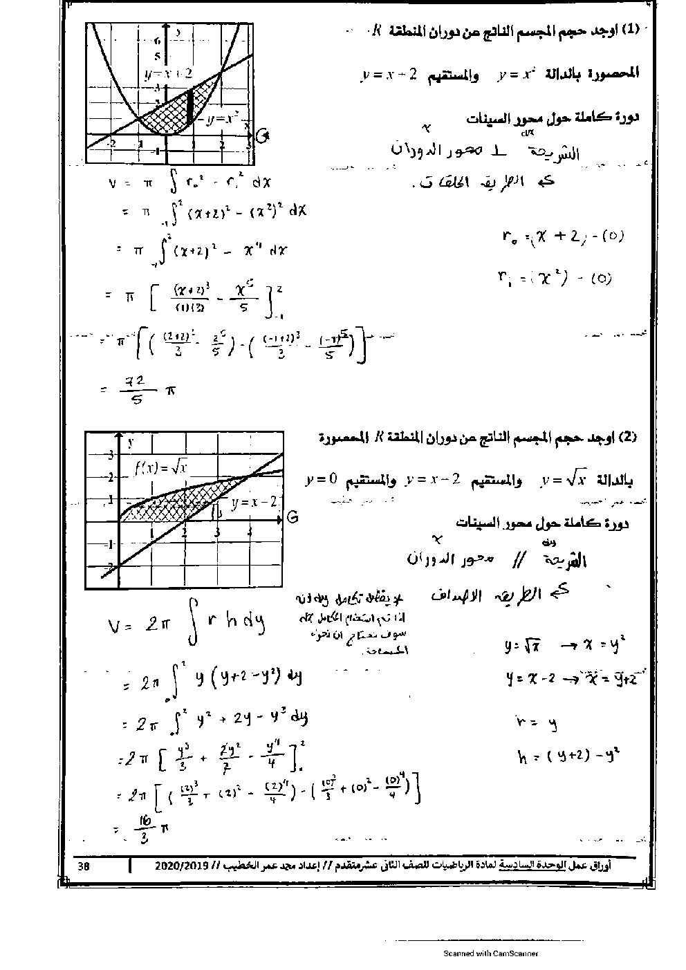
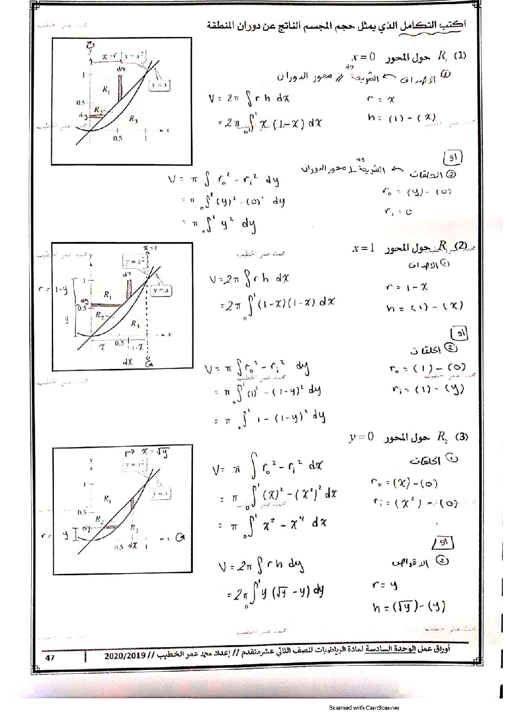
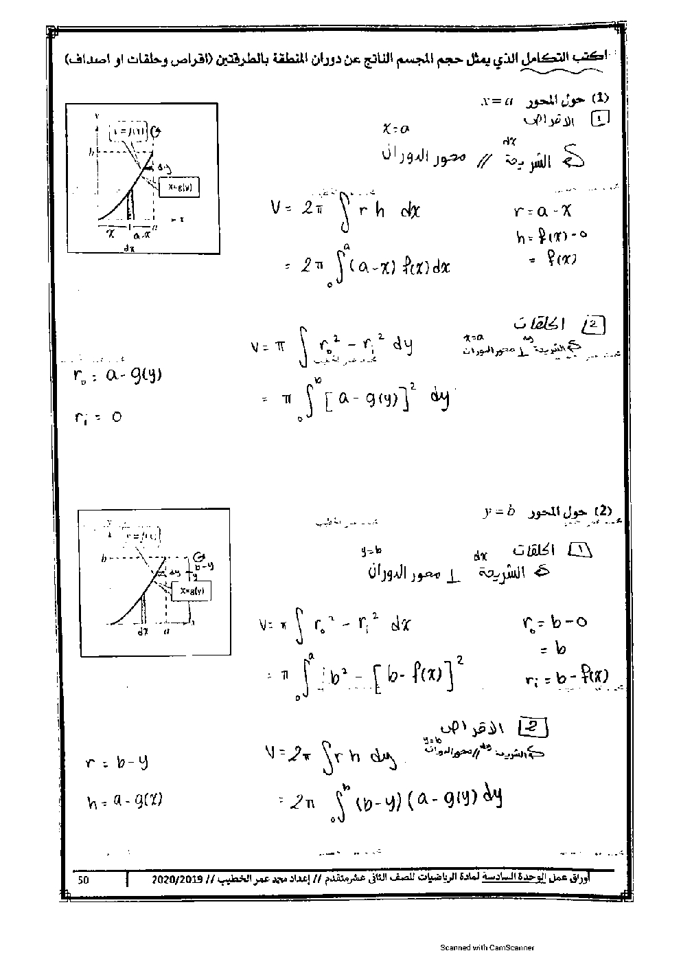
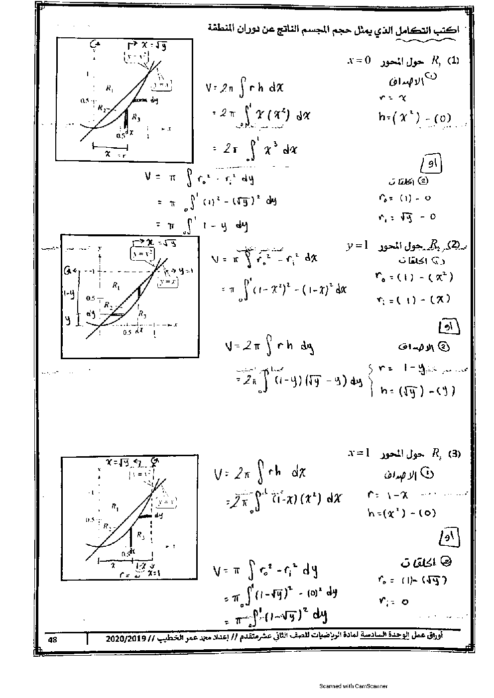
من 25